Common Ground Insights

Reliable news and clear information for everyday understanding.

society

What is the structure of nornicotine?

Written by Andrew Campbell — 0 Views

Nornicotine is an alkaloid found in various plants including Nicotiana, the tobacco plant. It is chemically similar to nicotine, but does not contain a methyl group. It is a precursor to the carcinogen N-nitrosonornicotine that is produced during the curing and processing of tobacco.

What is the chemical name of nicotine?

Nicotine is also called 3-(1-methyl-2-pyrrolidinyl)pyridine according to the IUPACa nomenclature. It is a bicyclic compound with a pyridine cycle and a pyrrolidine cycle. The molecule possesses an asymetric carbon and so exists in two enantiomeric compounds.

What is Nitrosonornicotine used for?

N-Nitrosonornicotine is a yellow, oily liquid which becomes a solid on standing. It is used as a laboratory chemical and is not produced commercially.

What is Nitrosonornicotine found in?

NNN is found in a variety of tobacco products including smokeless tobacco like chewing tobacco and snuff, cigarettes, and cigars. It is present in smoke from cigars and cigarettes, in the saliva of people who chew betel quid with tobacco, and in the saliva of oral-snuff and e-cigarette users.

What is Anabasine found in?

Anabasine is a pyridine and piperidine alkaloid found in the Tree Tobacco (Nicotiana glauca) plant, a close relative of the common tobacco plant (Nicotiana tabacum). It is a structural isomer of, and chemically similar to, nicotine. Its principal (historical) industrial use is as an insecticide.

Nucleic acids - DNA and RNA structure

45 related questions found

How long does Anabasine stay in your blood?

Blood tests can detect nicotine as well as its metabolites, including cotinine and anabasine. Nicotine itself may be present in the blood for only 48 hours, while cotinine may be detectable for up to three weeks. After blood is drawn in a lab, results can take from two to 10 days.

What is a nicotine and metabolite test?

A Nicotine and Metabolite Urine Test is the measurement of nicotine and its metabolites to monitor success of smoking cessation programs, detect passive exposure, and evaluate nontobacco nicotine exposure.

What are carcinogens?

A carcinogen is something that can cause you to have cancer. It may be a substance in the air, a product you use, or a chemical in foods and drinks. Just because you had contact with a carcinogen doesn't mean that you'll get cancer.

Where is formaldehyde used?

Formaldehyde is a strong-smelling, colorless gas used in making building materials and many household products. It is used in pressed-wood products, such as particleboard, plywood, and fiberboard; glues and adhesives; permanent-press fabrics; paper product coatings; and certain insulation materials.

Is nicotine an acid or base?

Nicotine is a weak base with a pKa of 8.0. In its ionized state, such as in acidic environments, nicotine does not rapidly cross membranes. The pH of smoke from flue-cured tobaccos, found in most cigarettes, is acidic (pH 5.5–6.0).

What Colour is nicotine?

Nicotine, a naturally occurring colorless liquid in tobacco, turns brown when it is burned. On average, a cigarette contains about 2 mg of nicotine.

Who is nicotine named?

It was taken from the latin for the tobacco plant, Nicotiana tabacum. It was named after a 16th century French diplomat, Jean Nicot, who would never, in his lifetime, have expected to achieve such international notoriety. He was born in Nîmes around 1530, the son of a lawyer.

How formaldehyde is formed?

Formaldehyde is formed primarily by the combustion of organic materials and several natural and anthropogenic actions. Secondary formation of formaldehyde happens in the atmosphere through oxidation of natural and anthropogenic volatile organic compounds.

How is formaldehyde made in the body?

Formaldehyde is produced in the body by enzymatic oxidation of Vitamin B9. Once produced it can be detoxified by either of two biochemical reactions, one of which converts it to formate, which is then used to make the DNA and amino acids that cells require. No formate, no DNA.

What is formaldehyde made of?

Formaldehyde is a simple chemical compound made of hydrogen, oxygen and carbon. All life forms – bacteria, plants, fish, animals and humans – naturally produce formaldehyde as part of cell metabolism.

What are 3 types of carcinogens?

carcinogen, any of a number of agents that can cause cancer in humans. They can be divided into three major categories: chemical carcinogens (including those from biological sources), physical carcinogens, and oncogenic (cancer-causing) viruses.

What are four types of carcinogens?

A few well-known carcinogens are asbestos, nickel, cadmium, radon, vinyl chloride, benzidene, and benzene. These carcinogens may act alone or with another carcinogen to increase your risk. For example, asbestos workers who also smoke have a higher risk of lung cancer.

What are carcinogens examples?

Carcinogens are substances or exposures that can cause cancer. Examples include home and workplace chemicals, environmental or medical radiation, smoke, and even some viruses and medications.

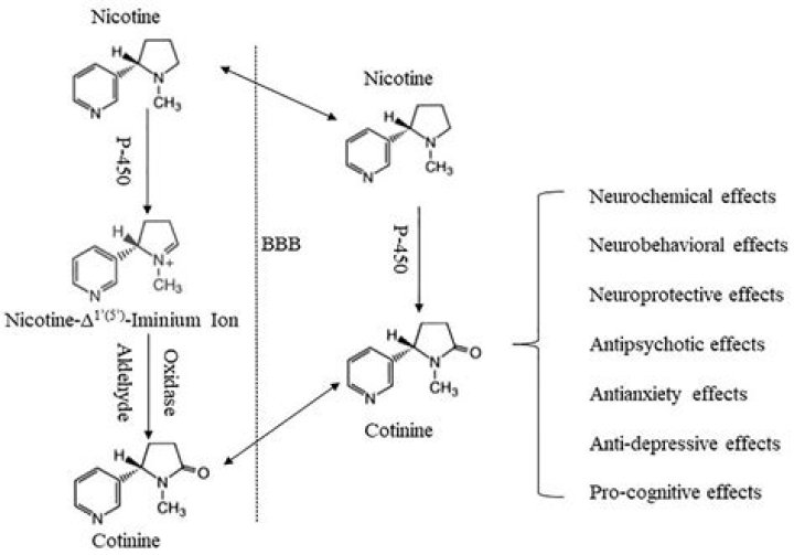
What are metabolites of nicotine?

The main metabolites of nicotine are cotinine, trans-3'-hydroxycotinine, and nornicotine; of these, cotinine is the most widely used marker for detecting nicotine exposure. ... Nicotine replacement therapy and tobacco use can be distinguished by the detection of a tobacco-specific alkaloid, such as anabasine.

What is nicotine metabolized by?

Almost 90% of nicotine absorbed by the body is metabolized in the liver. Nicotine may also be metabolized in the kidneys, lungs, brain, and respiratory epithelium membranes.

What is the name of the nicotine blood test?

Cotinine is usually the test of choice to evaluate tobacco use or exposure to tobacco smoke because it is stable and is only produced when nicotine is metabolized. Cotinine has a half-life in the body of between 7 and 40 hours, while nicotine has a half-life of 1 to 4 hours.

Will one cigarette show up in a urine test?

If you smoke infrequently, cotinine will usually be present in your urine for about four days. With regular exposure to nicotine, cotinine may be detectable for up to three weeks after your last exposure. A positive urine test depends on when you provide a urine sample relative to the last time you ingested nicotine.

What happens if you lie about smoking on health insurance application?

If you smoke, you need to let the insurer know during the life insurance application. A policy will cost you more but if you don't tell them, they can refuse to pay out when you or your beneficiaries make a claim.

How does nicotine affect sleep?

Primarily symptoms of insomnia, such as increased sleep latency, sleep fragmentation and decreased slow wave sleep with reduced sleep efficiency and increased daytime sleepiness, were observed during nicotine consumption. Furthermore, most studies indicated a nicotine induced rapid eye movement (REM) sleep suppression.

What is the common name of formaldehyde?

formaldehyde (HCHO), also called methanal, an organic compound, the simplest of the aldehydes, used in large amounts in a variety of chemical manufacturing processes. It is produced principally by the vapour-phase oxidation of methanol and is commonly sold as formalin, a 37 percent aqueous solution.