Common Ground Insights

Reliable news and clear information for everyday understanding.

health

Which catalyst is used for the preparation of silicones?

Written by Ava Arnold — 0 Views

The silicone industry extensively uses the platinum-catalysed hydrosilationhydrosilation Hydrosilylation, also called catalytic hydrosilation, describes the addition of Si-H bonds across unsaturated bonds. Ordinarily the reaction is conducted catalytically and usually the substrates are unsaturated organic compounds. Alkenes and alkynes give alkyl and vinyl silanes; aldehydes and ketones give silyl ethers. › wiki › Hydrosilylation

Hydrosilylation - Wikipedia

reaction in which a silicon-hydrogen (Si-H) bond is added across an unsaturated carbon-carbon double bond (C=C) of an olefin, resulting in the formation of a silicon-carbon (Si-C) bond.

Which catalyst is used for the preparation of silicones powder?

The silicon metal is preferably present in the form of silicon particles of relatively high purity, that is silicon material comprising at least 95% of silicon. The catalyst that is preferred in most processes is a partially oxidized copper metal catalyst in the form of a powder.

What chemicals are used to make silicone?

Silica—or silicon dioxide—is what they are referring to. Silica is the raw material used to make silicone resins. Beach sand is practically pure silica, as is quartz.

What is a platinum catalyst for silicone?

A platinum catalyst allows silicones to be formulated to provide a wide range of physical properties, adjustable work times and reaction rates if cured in the right conditions.

What are the preparation of silicones?

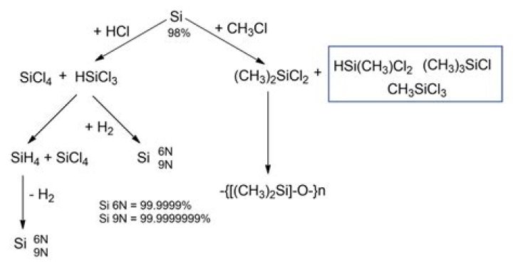
Preparation. Silicones are prepared by the hydrolysis of alkyl or aryl substituted silicon halides. Alkyl or aryl substituted silicon halides are prepared by passing gaseous alkyl or aryl halide over an alloy of copper and silicon at 300°C. The hydrolysis of dimethyldichlorosilane gives dimethyl silanol.

Chemistry of silicones,it's preparation, properties & uses

40 related questions found

What are silicones give their preparation & uses?

They are typically colorless, oils or rubber-like substances. Silicones are used in sealants, adhesives, lubricants, medicine, cooking utensils, and thermal and electrical insulation. Some common forms include silicone oil, silicone grease, silicone rubber, silicone resin, and silicone caulk.

What are silicones explain the preparation and their structure?

Silicones are polymers that are also known by the name polysiloxanes. These are the polymers that involve any inert, synthetic compound made up of iterative units of siloxane. It is a chain of alternating oxygen and silicon atoms that are frequently combined with hydrogen and carbon.

Why are platinum catalysts used?

The role of platinum in catalytic converters is to oxidise carbon monoxide (CO) and hydrocar- bons. ... The three-way catalyst used for petrol vehicles must also be able to reduce NOx to nitrogen as well as oxidise CO and hydrocarbons – that is why rhodium is generally used in addition to platinum or palladium.

Is PDMS silicone?

Polydimethylsiloxane (PDMS) is a silicone elastomer most often used in microfluidic or lab-on-a-chip applications to form devices with defined microstructures. Many formulations of PDMS exist, with Sylgard 184 being the most commonly used in biological-based research.

What is silicone chemistry?

Silicones are essentially organically modified quartz. Silicon quartz consists of silicon and oxygen atoms. In the making of silicones, two oxygen atoms attached to every silicon atom have been replaced by methyl groups.

What is silicone plastic?

Silicone, they explain, is "something of a hybrid between a synthetic rubber and a synthetic plastic polymer," which means it's still a plastic, no matter how it's spun. While it does contain silica, which is derived from sand, it also contains synthetic and chemical additives that come from fossil fuels.

What are the types of silicones?

Silicone rubbers are man-made polymer materials that have a wide range of industrial and manufacturing applications. The various types of silicone rubbers include room temperature vulcanize, liquid silicone, fluorosilicone and high-consistency rubber.

What is a platinum catalyst?

Platinum has proven to be the standard catalyst for many oxidation and reduction reactions in both acidic and basic electrolytes and would be an ideal candidate for process feasibility studies. It is also used as a recombination catalyst for hydrogen elimination. ...

What is Rh catalyst?

Abstract. The rhodium (Rh) and ruthenium (Ru) are very important catalytic materials in various oxidation reactions. It is the best monometallic catalyst for oxidation of carbon monoxide (CO) and practically used in residential catalytic converters. These catalysts are active for CO oxidation at a low temperature.

What is nickel catalyst?

Nickel-based catalysts are widely used in petrochemistry for selective hydrogenation of poly-unsaturated compounds formed during steam cracking, such as dienes and/or alkynes. ... This will give the possibility to tune the activity and/or the selectivity of a catalytic system for a given reaction.

Why is PT a good catalyst?

Platinum works as a catalyst by collecting oxygen atoms (O), and letting them bind with the toxic carbon monoxide (CO), to create the less harmful carbon dioxide (CO2). ... This provides for the first time a good explanation for the high catalytic activity of platinum in oxidation reactions.

What are the 3 types of catalysis?

Catalysts and their associated catalytic reactions come in three main types: homogeneous catalysts, heterogeneous catalysts and biocatalysts (usually called enzymes).

Which is the most useful catalyst?

An enzyme is a biological catalyst. Enzymes are important for controlling reactions in cells. They are also important in industry. The use of enzymes allows some industrial reactions to happen at lower temperatures and pressures than traditionally needed.

What is a zeolite catalyst used for?

Catalysis: Zeolites are extremely useful as catalysts for several important reactions involving organic molecules. The most important are cracking, isomerisation and hydrocarbon synthesis. Zeolites can promote a diverse range of catalytic reactions including acid-base and metal induced reactions.

What is silicon used for?

Silicon is one of the most useful elements to mankind. Most is used to make alloys including aluminium-silicon and ferro-silicon (iron-silicon). These are used to make dynamo and transformer plates, engine blocks, cylinder heads and machine tools and to deoxidise steel. Silicon is also used to make silicones.

What is liquid silicone used for?

WHAT IS LIQUID SILICONE RUBBER USED FOR? The most common application for silicone rubber is the production of LSR parts. LSR parts are used in a range of different industries. Their steam resistance and low compression set make them an excellent choice for gaskets and hardware in consumer appliances such as microwaves.

How are silicones prepared for Class 11?

Silicones are prepared by the hydrolysis of alkyl substituted silicon halides (here dialkyl dichlorosilane i.e. ${{R}_{2}}SiC{{l}_{2}}$). ... ${{R}_{2}}SiC{{l}_{2}}$ is prepared by passing vapours of RCl over Si in the presence of copper as a catalyst at 300${}^\circ $C.

What is silicone grease made of?

Silicone grease, sometimes called dielectric grease, is a waterproof grease made by combining a silicone oil with a thickener. Most commonly, the silicone oil is polydimethylsiloxane (PDMS) and the thickener is amorphous fumed silica.

Is Peva silicone?

First, let me say that (Re)Zip bags are not made of silicone—they're made of a plastic called PEVA, or polyethylene vinyl acetate. ... They are slimmer than Stashers, which made the most difference when traveling or stashing a snack in my already stuffed gym bag. There are a few draw backs, though.